Gallery of Charts and Figures
I have made many charts, and other figures, in my research. Here are a few that I am most proud of.
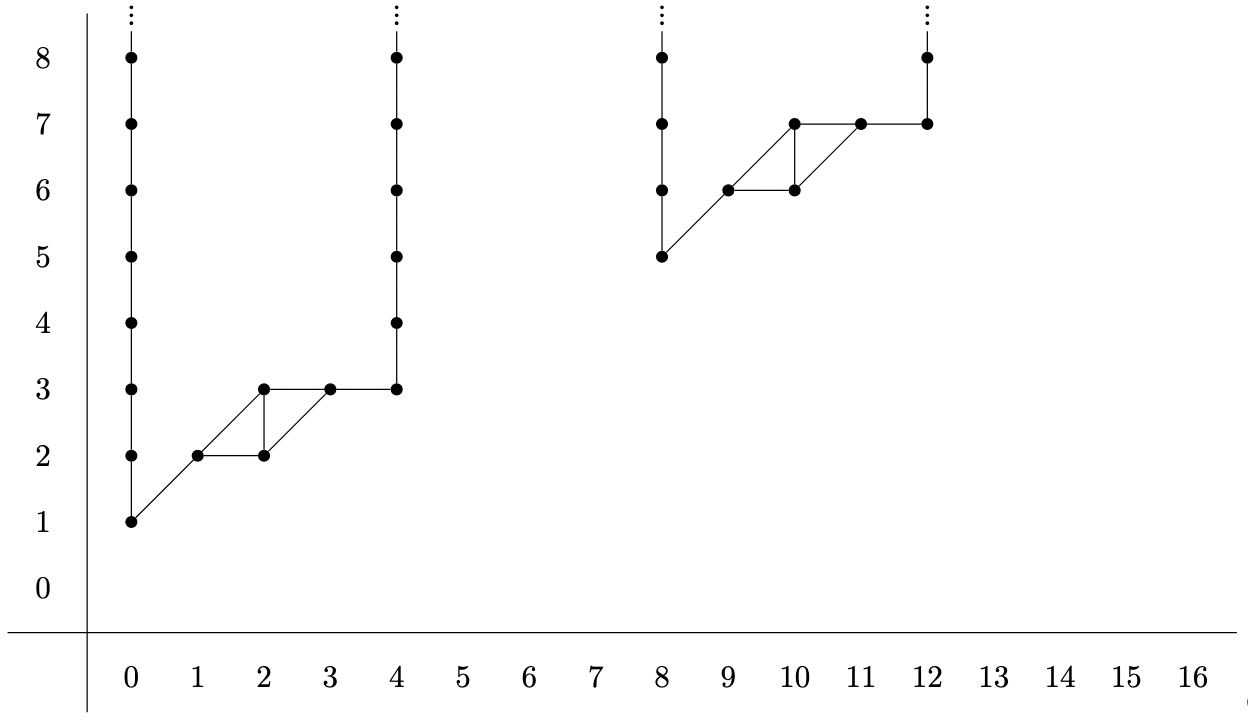
The $\mathbb{R}$-motivic cohomology of $A(1)$
![]() |
|---|
| $\text{Ext}_{A(1)^\vee}^{***}(\mathbb{M}_2^\mathbb{R}, \mathbb{M}_2^\mathbb{R})$ in coweight $cw \equiv 0 \, (4)$ |
![]() |
|---|
| $\text{Ext}_{A(1)^\vee}^{***}(\mathbb{M}_2^\mathbb{R}, \mathbb{M}_2^\mathbb{R})$ in coweight $cw \equiv 1 \, (4)$ |
![]() |
|---|
| $\text{Ext}_{A(1)^\vee}^{***}(\mathbb{M}_2^\mathbb{R}, \mathbb{M}_2^\mathbb{R})$ in coweight $cw \equiv 2 \, (4)$ |
The $RO(C_2)$-graded homotopy of $\text{k}\mathbb{R}$

Motivic spectral sequences for algebraic K-theory
![]() |
|---|
| The $E_2$-term of the motivic Adams spectral sequence computing $\pi_{**}^{\mathbb{F}_5}(\text{kgl})$ |
![]() |
|---|
| The $E_2$-term of the motivic Adams spectral sequence computing $\pi_{**}^{\mathbb{Q}_3}(\text{kgl})$ |
Cooperations
![]() |
|---|
| The 2-primary ring of connective algebraic K-theory cooperations over $\mathbb{C}$ |
![]() |
|---|
| The 2-primary ring of connective hermitian K-theory cooperations over $\mathbb{F}_3$ |
![]() |
|---|
| The 2-primary ring of connective hermitian K-theory cooperations over $\mathbb{F}_5$ |








